Prozatím jsme se – až na výjimky – bavili o tryptaminech, které se v těle přirozeně nevyskytují. Pokud chce člověk zažít jejich efekty, musí je tělu uměle dodat, obvykle v podobě drogy. Dnes se ale podíváme na látku, se kterou je každý z nás důvěrně obeznámený, ač si to většina lidí neuvědomuje.
Je jí melatonin, hormon z velké části zodpovědný za regulaci spánkové činnosti mozku.

Zatímco tryptaminy z našich předchozích článků se vyznačovaly alkylovými řetězci připojenými na ethylaminový dusík, melatonin je zástupcem větší třídy látek, která má namísto nich na dusíku různé acylové skupiny.
To jsou v podstatě skupiny obsahující uhlík navázaný dvojnou vazbou na kyslík a jednoduchou vazbou na nějakou další skupinu, typicky nějaký alkyl. Na obrázku výše je zeleně vyznačena základní acylová struktura – pozici alkylu v ní zabírá methyl, nakreslený modře, mohl by být ale nahrazen i řadou jiných substitucí.
Zástupců této třídy látek samozřejmě existuje více a později si některé zajímavější z nich budeme ukazovat.
Malý, ale významný orgán
Melatonin v těle přirozeně produkuje šišinka mozková, maličkatý orgán uložený hluboko v hlavě, pro který jeho tvorba představuje hlavní smysl existence. Jelikož je drobounká, je schopná ho vyprodukovat jen velmi, velmi malé množství – asi 30μg (třicet miliontin gramu) každou noc.
To ovšem stačí, protože melatonin má výjimečně dobrou afinitu (přilnavost) na svých receptorech a navíc jej šišinka vypouští přesně tam, kde má být, a nikam jinam.

Jak již bylo řečeno, melatonin tělu primárně slouží k ovládání spánku. Podílí se na fungování cirkadiánního rytmu, a tedy toho, kdy se člověk probouzí a kdy chodí spát.
Z toho důvodu se někdy používá jako potravinový doplněk či léčivo prodejné bez předpisu, neboť pokud si jej člověk vezme několik miligramů (výrazně vyšší než přirozeně vypouštěná dávka je nutná z různých metabolických a fyziologických důvodů), působí melatonin jako slabý, ale bezrizikový prášek na spaní. Je vhodný především pro situace, kdy člověk potřebuje jít spát brzy, ale minulý den usnul pozdě a bez pomoci melatoninu by spánek jen tak nepřišel.
Efekty melatoninu jsou slabé, ale přesto patrné – typický unavený pocit kolem očí, jistá ‘rozleženost těla’, celková únava. Pokud ovšem člověk odolá a přeci jen neusne, může se dostavit i slabá fyzická euforie či (při hodně vysokých dávkách) depersonalizace.
Zdaleka nejvýznamnějším působením melatoninu (kromě navozování únavy) je ovšem jeho působení na sny. Jedná se o oneirogen, neboli snový umocňovač, způsobující zvýrazněnou živost, pestrost a zapamatovatelnost nočních prožitků, což může být obzvláště cenné pro někoho, komu se sny obvykle nezdají (nebo si jich není vědom).
Méně známá je skutečnost, že melatonin také slouží jako posilovač působení psychedelik, ačkoliv bohužel tato interakce není dostatečně prozkoumaná, aby ji bylo možné přesně fenomenologicky charakterizovat.

Nejen přírodní chemie
Agonistů melatoninových receptorů (MT1 a MT2, MT3/MT1C působí jinak a patrně se u lidí nevyskytuje) samozřejmě existuje víc, ačkoliv melatonin je z nich zdaleka nejznámější a nejlépe popsaný. Část z nich uměle vznikla ve snaze vyvinout jeho silnější alternativy s delší dobou účinku, které by byly lépe použitelné v medicíně.
Nejjednodušší variantou je 6-hydroxymelatonin, ve který se melatonin v těle přirozeně rozkládá. I on působí na M1 a M2 receptory, takže má podobné efekty jako jeho mateřská molekula. Kromě toho vykazuje i neuroprotektivní a antioxidační účinky, dokonce silnější než melatonin samotný.

Tak trochu opačným případem je N-acetylserotonin. Ten tělu slouží jako látka, ze které vzniká melatonin, ale zároveň má vlastní aktivitu na jeho receptorech. V podstatě jde o melatonin s hydroxy skupinou na místě methoxy skupiny, tedy melatonin ochuzený o jeden uhlík – proto se mu také někdy říká normelatonin.

Podobně jednoduše substituovaný je i 2-jodmelatonin, jenž se od melatoninu liší pouze připojením jodu na ‘špičku’ indolového prstence, hned nad dusíkem. Jelikož existuje [125]I, radioizotop jodu, je možné připravit radioaktivní verzi 2-jodomelatoninu, která se v medicíně používá k výzkumu melatoninových receptorů, podobně jako se různé radioaktivní verze psychedelik používají k výzkumu receptorů serotoninových. Různých halogenovaných látek založených na melatoninu existuje více, například 6-chlormelatonin či 6-fluormelatonin.

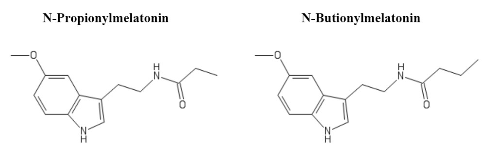
Pokud prodloužíme acylovou skupinu o jeden či dva uhlíky, získáme N-propionylmelatonin a N-butionylmelatonin. Mnoho informací o nich k dispozici není, avšak domnívám se, že lze předpokládat, že se chovají podobně jako jejich kratší příbuzný.

Jen o něco málo složitější je TIK-301, jenž se momentálně testuje jako léčivo. Je výrazně silnější než melatonin a díky chloru ve své struktuře v těle působí o něco déle, což je pro ideální pro jeho lékařské využití. Jelikož má také určitou aktivitu na serotoninových receptorech, zvažuje se možnost jej využívat jako antidepresiva, ačkoliv pokud vím, zatím na toto téma neproběhla žádná velká studie.

Mnoho tvarů
Kromě těchto mírných úprav ale existují i daleko komplexněji substituované deriváty melatoninu. Za zmínku stojí například ramelteon a jeho předek s kostrbatým jménem GR-196,429 (nikdy nebyl uveden do prodeje, takže mu zůstal jen laboratorní název).
U GR-196,429 je methoxy skupina na páté substituční pozici protažena a připojena zpět k indolinovému dvojprstenci (nikoliv indolovému, neboť ztratil jednu dvojnou vazbu), čímž vzniká prstenec třetí (konkrétně furan). Jak si budeme ukazovat za pár týdnů, tento typ úpravy se používá i u některých psychedelik.
Ramelteon je svému předku velmi podobný, ale má dvě zásadní odlišnosti. První a méně významnou je, že jeho acetylová skupina byla nahrazena delší propionylovou skupinou. Důležitější ovšem je, že jeho indolinové jádro ztratilo svůj dusík, takže se z něj stal indan.

Mohlo by se zdát, že proměna indolinu v indan je drobností, ale ve skutečnosti jde o zásadní pozorování – jelikož ramelteon je podobně silný agonista melatoninových receptorů jako melatonin, ukazuje nám to, že na konkrétním jádru zas až tolik nezáleží. Vědci se proto rozhodli vyzkoušet indan nahradit různými jinými prstencovými systémy. Žádná z takových látek sice není tryptaminem v pravém smyslu slova (a ostatně GR-196,429 a ramelteon také ne), jsou ale od tryptaminů odvozené a z určitého hlediska se jim hodně podobají.
Vůbec nejznámější látkou tohoto druhu je agomelatine, což je melatonin s indolem nahrazeným naftalenem (osamocený naftalen se používá například v kuličkách proti molům).
Kromě toho, že agonisticky působí na melatoninové receptory, také antagonizuje (blokuje) některé ze serotoninových receptorů (5-HT2B a 2C), podobně jako výše zmíněný TIK-301, což z něj dělá netypické antidepresivum, jež by snad mohlo mít méně nežádoucích vedlejších účinků než ta běžněji používaná.

Ještě zajímavější je ovšem tasimelteon. Ten si zachovává dodatečný furanový prstenec, kterým disponuje ramelteon, avšak úplně ztrácí jednu z polovin indolového dvojprstence – namísto něj má prostě benzenový prstenec. To by měl být problém pro aktivitu na melatoninových receptorech, protože ta do velké míry závisí na vzdálenosti dusíku na konci alkylového řetězce od indolového ‘jádra’ molekuly. V nepřítomnosti druhého prstence by byla příliš krátká taková látka by tedy neměla být aktivní.
Tasimelteon tento problém chytře obchází složitější strukturou svého řetězce. Do jeho středu je vložena cyklopropylová skupina, která mu dává potřebnou délku, a tedy mu zajišťuje schopnost ‘dosáhnout’ na potřebnou lokaci v receptoru a správně se na něj navázat.

Malá ochutnávka
A to je pro dnešek vše. Koncept možnost výměny jádrových prstenců u tryptaminů je ovšem důležitý, protože ho v příštím článku budeme aplikovat na různá psychedelika, která jsme si ukazovali v minulých týdnech, a naznačíme si, kam by se psychedelický výzkum mohl ubírat v budoucnu.
Autorem náhledového obrázku je můj přítel Mat Coll.
One thought on “Tryptaminy #5: Látka spánku”