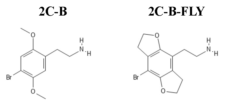
Jak jsme si již ukazovali, methoxy skupiny na druhé a páté pozici jsou velmi důležité pro správné vázání psychedelik z rodiny 2C-x na serotoninové receptory v mozku, a tedy i pro jejich aktivitu.
Jelikož uhlík na vnějším konci methoxy skupiny je na její kyslík navázán jen jednoduchou chemickou vazbou, může se kolem něj poměrně volně ‘točit’, což může teoreticky vést k problémům s interakcí s receptorem.
Vědci se proto rozhodli vyzkoušet, co by se stalo, kdyby takovému pohybu alespoň částečně zabránili. Toho dosáhli připojením onoho vnějšího uhlíku k uhlíku druhému, ležícímu na vedlejší substituční pozici (třetí pro methoxy skupinu na druhé pozici, šesté pro tu na pozici páté).
Vzniklá struktura vypadá na chemických diagramech tak trochu jako ‘křídlo’ připojené na hlavní fenylový prstenec, což je původ názvu 2C-B-FLY, nejznámější látky tohoto druhu. Správně se tomuto křídlu říká oxolan či tetrahydrofuran, často se ale nazývá prostě furan.

2C-B-FLY je z hlediska psychonautů látkou poměrně rozporuplnou. Na trhu se objevuje už od devadesátých let, kdy ho syntetizoval Aaron P. Monte1, avšak nikdy tak úplně nevstoupilo do mainstreamu, na rozdíl od 2C-B, své mateřské substance, od níž je odvozeno.
Podle některých jde o látku výjimečně dobrou, například Ann Shulginová ji považuje za své oblíbené psychedelikum. Pro řadu jiných jde ovšem o zklamání, snad i proto, že očekávají 2C-B a jeho unikátní směs efektů, avšak dostávají látku charakterově trochu odlišnou.
Kognitivně jde sice o poměrně snadno zvládnutelnou látku (protože nevyvolává velké zmatení, i pokud jsou například vizuální efekty poměrně intenzivní), má ale celkem nepříjemné vedlejší efekty na trávicí soustavu, například nadýmání, průjmy a nevolnosti.
Takové působení se často spojuje s inhibicí (tlumením) aktivity MAO (oxidáz monoaminů, látek sloužících k rozkladu přebytečných neurotransmiterů a jim podobných chemikálií v těle). A opravdu, pro toto tvrzení existují i přímé experimentální doklady2. Z tohoto důvodu by si měl člověk dát dobrý pozor na kombinace 2C-B-FLY s látkami nějak přímo působícími na serotonin, například MDMA či jinými entaktogeny – není zcela jasné, zda jde o nebezpečné párování, ale vždy je lepší být opatrný a alespoň teoretické podklady pro obavy tu jsou.
Podobně jako jiné fenylethylaminy, i 2C-B-FLY má tendenci být barvitě vizuální a celkově lze jeho stavy popsat jako teplé, prosociální a energetické, ačkoliv například jeho vlastní entaktogenické efekty patrně nejsou tak silné jako u 2C-B – spíš je lze srovnat třeba s 2C-E.
Dotatečné prstence navíc patrně nějak ovlivňují metabolismus této substance, takže její působení trvá výrazně déle než u 2C-B – zatímco u něj efekty přetrvávají po asi 5-8 hodin, u 2C-B-FLY je to 7-12.
V nedávné době 2C-B-FLY znovu začalo být dostupné, a zdá se, že tentokrát se těší větší oblibě než dříve – možná i proto, že 2C-B bylo mezitím zakázáno a již není snadno k sehnání, takže mezi nimi už není tak bezprostředně zřejmý kontrast.
Blízcí příbuzní
FLY varianta může samozřejmě existovat pro každé 2C-x. Připraveno bylo poměrně velké množství z nich, avšak z fenomenologického hlediska o nich není známo téměř nic, protože většina z nich nikdy neopustila vědecké laboratoře.
Na některých ovšem byly provedeny alespoň testy na zvířatech3, z nichž lze přeci jen něco usuzovat. Například 2C-E-FLY je údajně jen o trošku slabší než 2C-B-FLY, zatímco 2C-EF-FLY a 2C-I-FLY byly dvakrát, respektive třikrát slabší v navození specifického pohybu hlavy u hlodavců (tzv. ‘head-twitch response’ či HTR), jenž je poměrně dobře podložený jako doklad psychedelické aktivity. 2C-B-FLY v tomto testu dosahuje stejných výsledků jako 2C-B, což tak nějak koresponduje skutečnosti, že obojí jsou subjektivně zhruba stejně intenzivní látky. Připraveno13 bylo i 2C-T-7-FLY.

Kombinované substituce
V jednom z předchozích článků jsme zmiňovali amfetaminové analogy pro 2C-x, nesoucí název DOx. I pro ně jde samozřejmě vytvořit FLY varianty, přičemž se se zdá, že minimálně u DOB-FLY a 2C-B-FLY je zachováno pravidlo3, že DOx jsou výrazně silnější na váhu než jim odpovídající 2C-x.
DOx-FLY jsou ještě hůře prozkoumány než 2C-x-FLY, avšak i s nimi přeci jen nějaká práce proběhla. Výše zmiňované DOB-FLY je z nich nejlépe prozkoumané a podle testů na hlodavcích by mělo jít o podobně činné psychedelikum, jako je DOB samotné, o trochu silnější na váhu3.

Kromě DOB-FLY je popsané také TFMFly, což je bizarní (a z nějakého důvodu zavedený) název pro látku, jež by se správně měla jmenovat DOTFM-FLY (TFM v názvu znamená ‘trifluormethyl’, což označuje jeho substituční skupinu se třemi fluory). Podle receptorových studií lze předpokládat aktivitu4.
2C-TFM je typicky považované za nejsilnější známé neamfetaminové 2C-x, co se týče potence na váhu5 – jako jediné se dokáže vyrovnat potenci některých slabších DOx (většina ostatních 2C-x je asi pětkrát až desetkrát slabší). Bylo by zajímavé zjistit, zda by jeho FLY varianta byla ještě silnější.

Vážka, jež přináší smrt
Chemie znalejší čtenáři si možná povšimli, že ‘křídla’ výše probíraných molekul jsou saturovaná. To velmi zjednodušeně znamená, že na každém jejich uhlíku je přítomné maximální možné množství vodíků, takže nevznikají žádné dvojné (nebo trojné) vazby mezi uhlíky.
Logicky ovšem mohou existovat i jejich nesaturované verze, které ztrácejí část vodíků výměnou za vznik dvojné vazby. Takovým FLY variantám se typicky říká DragonFLY (původ tohoto názvu je nejasný) či zkráceně DFLY. Jak si ještě budeme ukazovat, vznikají zde určité terminologické obtíže, protože ne vždy je užíván správně.
Přítomnost dvojných vazeb mění fyzické vlastnosti látek, jež je obsahují, oproti jejich saturovaným analogům – jednak omezují schopnost jednotlivých atomů se kolem sebe vzájemně hýbat, čímž celou molekulu zploští v prostoru, druhak z nich vycházejí určité chemické vlastnosti, jež mění schopnost dané substance se vázat na receptor.
Desaturace ‘křídel’ 2C-B-FLY vede ke vzniku 2C-B-DFLY. To nikdy nebylo testováno člověkem, ale na základě testů na zvířatech3 se předpokládá, že by bylo vysoce potentní – je silnější jak na váhu, tak v ‘head-twitch response’ testu než 2C-B-FLY i 2C-B.

Máme navíc i nepřímé doklady v podobě DOB-DFLY, výrazně známějšího pod názvem Bromo-DragonFLY (zde právě jde o ono nesprávně využití terminologie, o němž jsme se zmiňovali výše).
Bromo-DragonFLY je v psychonautské komunitě nechvalně proslulé. V roce 2009 jej jeden z vendorů (patrně omylem) zaměnil v zásilce za 2C-B-FLY. Zatímco 2C-B-FLY je jen o trochu silnější než 2C-B, a tedy se dávkuje v jednotkách až nízkých desítkách miligramů, Bromo-DragonFLY je extrémně potentní psychedelikum s dávkováním skoro na úrovni LSD, tedy ve stovkách mikrogramů.
To by samo o sobě nebylo problém, kdyby navíc nebylo také vysoce toxické, což vyústilo ve smrt recipientů chybné zásilky. Není zcela popsané, jakým mechanismem zabíjí, ale patrně to má něco společného s jeho tendencí způsobovat silnou vazokonstrikci (zužování cév)6 – jde o typický efekt silných agonistů ‘psychedelického’ 5-HT2A receptoru, přičemž Bromo-DragonFLY je jedním z vůbec nejsilnějších vědě známých.
Dalším mechanismem by mohla být skutečnost, že je patrně inhibitorem MAO7, což, jak jsme si říkali výše, může způsobovat nepříjemné vedlejší efekty a v některých případech i být přímo nebezpečné. Celkem si Bromo-DragonFLY vyžádalo minimálně pět obětí, což by se na první pohled mohlo zdát jako málo, ale musíme si uvědomit, že nikdy nešlo o rozšířenou substanci.
Aby toho nebylo málo, Bromo-DragonFLY navíc dokáže působit až tři dny v kuse, což je opravdu extrémní a samo o sobě to dost možná může být traumatizující – jedna věc je být v nepříjemném stavu pár hodin, druhá je v něm být uvězněn celé dny.
Tato nečekaná délka je nejspíše způsobena kombinací ‘křídel’ a amfetaminového methylu na alfa pozici – obojí prodlužuje působení i samo o sobě a je možné, že kombinace působí v tomto směru ještě silněji. Bylo by zajímavé zjistit, zda si třeba DOB-FLY se saturovanými ‘křídly’ také zachovává tuto délku – pokud ne, znamenalo by to, že v tom hraje roli i nesaturovanost Bromo-DragonFLY.

Samozřejmě, není důvod, proč by nemohly existovat i jiné DOx-DragonFLY varianty. Minimálně jedna z nich, Chloro-DragonFLY (či lépe DOC-DragonFLY) opravdu byla alespoň laboratorně připravena (a dokonce je či alespoň v nějakém bodě byla k dispozici pro laboratorní výzkum), neví se o ní ovšem vůbec nic.

Cesta ke křídlům
Zjevně tedy křídla může přijmout celá řada substancí. Je ale potřeba, aby byla na obou stranách molekuly?
Odpověď zní, že ne.
Během vývoje FLY variant 2C-x ve skutečnosti tým Davida Nicholse, legendárního psychedelického vědce zodpovědného za velkou část odborné práce provedené na syntetických fenylethylaminech, nejprve experimentoval jen s jedním křídlem.
Jejich úplně první pokus8 byl provedený na DOM, přičemž jeho ‘spodní’ methoxy skupina (tedy ta na 5. substituční pozici) byla připojena k pozici čtvrté. To vedlo k poklesu aktivity v testech na krysách na asi dvacetinu hodnoty oproti původnímu DOM. Nichols se v literatuře, kterou mám k dispozici, nevyjadřuje k tomu, proč se tak stalo, ale osobně bych předpokládal, že v tom hraje roli skutečnost, že čtvrtá pozice prokazatelně hraje velkou roli ve vázání a její zapojení do ‘křídla’ s tím nějak interferovalo.

Nichols a jeho tým se s takovým výsledkem pochopitelně nespokojili, a brzy přišli s alternativou: připojením této methoxy skupiny na 6. pozici (zároveň také vyměnili DOM za DOB, což je velmi podobná látka).
To se setkalo s výrazně větším úspěchem a výsledná látka, jíž by se dnes říkalo patrně DOB-5-hemiFLY, byla v testech na hlodavcích podobně aktivní jako běžné DOM (tedy hodně). Velký rozdíl v subjektivní aktivitě u krys mezi dvěma výše zmíněnými látkami je podložen masivním rozdílem v afinitách (vázavostech) na 5-HT2A receptorech – u DOB-5-hemiFLY je více než stokrát vyšší.

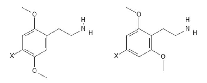
Pokud se divíte, odkud vychází název DOB-5-hemiFLY, odpověď je poměrně jednoduchá – část ‘hemiFLY’ označuje, že látka má jen jedno ‘křídlo’ (‘hemi’ znamená v latině ‘polovina’) a číslo před ní říká, která z methoxy skupin je proměněna ve ‘křídlo’. Osobně si také myslím, že pokud není ‘křídlo’ utvořeno na standardních pozicích (2 a 3 pro ‘horní’ a 5 a 6 pro ‘spodní’), je dobré v názvu látky jasně říci, kam směřuje – v případě výše uvedeného názvu DOM-5,4-hemiFLY označuje první číslo pozici kyslíku ve ‘křídle’ a druhé pozici zpětného připojení ‘křídla’ na prstenec.
Jak známo, pátá pozice je pro vázavost fenylethylaminů méně důležitá než po pozice druhá. Nicholsův tým se proto rozhodl experimentovat s oběma, opět jen s jedním ‘křídlem’. Vzniklo DOI-2-hemiFLY, opět velmi silné psychedelikum, soudě podle provedených testů. (Proč zkoušeli různé varianty pozic ‘křídel’ s různými základními DOx, namísto aby je všechny vytvořili na bázi třeba DOB, mi není upřímně řečeno jasné.)

Příštím nápadem bylo samozřejmě připojit ‘křídla’ na obě strany, čímž vzniklo DOB-FLY a poté Bromo-DragonFLY, o nichž jsme již hovořili výše.
2C-x-FLY jsou tedy mladší než DOx-FLY – vznikly až později během dalších průzkumů vlastností ‘křídlatých’ fenylethylaminů. I pro ně byly ovšem připraveny hemiFLY varianty – bohužel se toho o nich ale prakticky nic neví.

Další pokusy
Furanová ‘křídla’ byla vyzkoušena jako první – není ale žádný očividný důvod, proč bychom měli chovat přesvědčení, že nutně jde o optimální verzi ‘křídel’. O několik let později se proto tým kolem Danielleho Schultze rozhodl vyzkoušet9, co by se stalo, pokud by byl pětiatomový furan v ‘křídlech’ nahrazen svým šestiatomovým homologem, pyranem (přesněji řečeno tetrahydropyranem).

Vpravo: tetrahydropyran (oxan)
Výsledkem byly nesymetrické substance, kdy jedno z ‘křídel’ zůstalo furanové a druhé se změnilo na pyranové. Vznikly tak dvě látky, jimž patrně nikdy nebyly přiřazeny triviální názvy – podle později ustanovené nomenklatury pro příbuzné substance bychom jim ovšem snad mohli říkat DOB-2-FLY-5-BUTTERFLY a DOB-2-BUTTERFLY-5-FLY (název ‘butterfly’, česky ‘motýl’, je odvozený od skutečnosti, že pyranové křídlo je fyzicky větší než křídlo furanové, jež se objevuje u běžnějších FLY fenylethylaminů).

V obou případech šlo ovšem o látky slabší než je DOB-FLY – vysvětlením nejspíše je, že receptorová ‘kapsa’, do níž se musí vměstnat ‘křídla’ (či methoxy skupiny, u normálních fenylethylaminových psychedelik) je fyzicky poměrně malá, takže větší struktury mají problém se do ní vejít.
Mimochodem, DOB-2-FLY-5-BUTTERFLY bylo z obou látek silnější, což opět potvrzuje známou tezi, že kyslík a atomy kolem něj na druhé substituční pozici jsou důležitější pro vázání než jejich protějšky na pozici páté. I v jeho případě však stejně došlo k několikanásobnému poklesu afinity oproti DOB-FLY – na druhou stranu ale bylo také v testech na krysách několikrát silnější, co se subjektivních efektů týče, než DOB-2-BUTTERFLY-5-FLY.

Připravena byla i varianta se dvěma pyranovými prstenci, zvaná prostě DOB-BUTTERFLY. Poměrně nepřekvapivě je desetkrát slabší než DOB-FLY v diskriminačních testech na hlodavcích8, tedy ještě slabší než oba ‘polo-pyranové’ analogy.

Obdobně lze samozřejmě vytvořit pyranové analogy pro různá 2C-x, například 2C-B-BUTTERFLY, které je ještě o něco slabší než DOB-BUTTERFLY10. Ačkoliv nejspíš byly syntezizovány i některé další, neví se o nich zhola nic – ve vědeckém výzkumu se obecně používají spíše DOx než 2C-x, protože jde typicky o silnější, a tudíž pro výzkum fungování receptorů zajímavější látky.

Pozorného čtenáře jistě napadne, jestli by zpevnění pyranových prstenců pomocí strategicky umístěných dvojných vazeb nemohlo vést k lepší aktivitě, podobně jako v případě dvojice FLY a DragonFLY – odpovědí bohužel je, že nevíme, protože to patrně nikdo nikdy nezkoušel.

Mnoho druhů hmyzu
Furany a pyrany samozřejmě nejsou jedinými druhy jednoduchých prstenců obsahujících jeden kyslíkový atom. Jak ukazuje tabulka níže, je jich celá řada (potenciálně nekonečně) – je však dobré pamatovat, že experimenty s pyranovými ‘křídly’ ukazují, že 5-HT2A receptor netoleruje příliš dobře velké struktury u kyslíků na struktuře 2C-x.

Žádná z takových variant nebyla patrně nikdy syntetizována ani jako 2C-x, ani jako DOx, a všechny mají významné problémy.
V případě větších než pyranových ‘křídel’ jde o onu neochotu receptoru akceptovat velké prstence. V případě oxetanových křídel jde o jisté obtíže se syntézou a možnou nestabilitu v důsledku skutečnosti, že čtvercový tvar nerespektuje optimální úhly vazeb vůči sobě navzájem (přirozená tendence uhlíků vytvářet šestiúhelníkovité prstence má své chemicko-fyzikální důvody). U oxiranových je to podobné.
Přesto by bylo zajímavé takové látky alespoň vyzkoušet, ač bychom od nich neměli čekat přílišnou aktivitu.

Změna umístění
Jak jsme si ukazovali v některých z předchozích článků, s pozicemi methoxy skupinami na fenylethylaminové kostře si jde poměrně kreativně hrát. To se logicky přenáší i do hrátek s ‘křídly’ – pokud přesuneme kyslík normálně přítomný na páté pozici DOM na pozici šestou, dostaneme látku s vynikající afinitou na 5-HT2A receptor, která se nazývá Ψ-DOM (či psi-DOM). Pokud následně proměníme methoxy skupiny ve furanová křídla, vznikne Ψ-DOM-FLY.

O samotném Ψ-DOM se toho mnoho neví. Alexander Shulgin jej zmiňuje v PiHKALu. Podle všeho má jen asi třetinovou potenci oproti klasickému DOM a působí kratší dobu (jen asi šest až osm hodin). Z nemnoha reportů, jež jsou o něm k dispozici, je jasné, že jde o zjevně aktivní psychedelikum jež má potenciál vyvolávat vedlejší efekty v trávicí a možná kardiovaskulární soustavě. Společně s TMA-6 navíc dokazuje, že i substituční struktura 2,4,6 je slibná (ač slabší), nejen klasická 2,4,5.

Vpravo: substituční struktura 2,4,6 (Ψ-2C-x)
V roce 2002 bylo v rámci zkoumání vztahu mezi strukturou a aktivitou tohoto typu látek Jamesem Chambersem a Davidem Nicholsem vyrobeno11 Ψ-DOM-FLY. Podle všeho má dobrou afinitu, zvláště ve srovnání s původním Ψ-DOM. V souladu se zjištěními probíranými výše v tomto článku je na tom Ψ-DOM-DragonFLY ještě lépe.

Jak víme z přechozích článků, takzvané psi analogy nejsou jedinou alternativou pro rozložení pozic methoxy skupin/kyslíků u fenylethylaminových psychedelik. Kromě nich existuje i meskalinové rozložení, kdy jsou dva kyslíky na pozicích 2 a 5 nahrazeny třemi kyslíky na pozicích 3, 4 a 5.

Vpravo: substituční struktura 3,4,5 (meskalinové analogy)
Z hlediska normálních substitucí je i to poměrně dobře prozkoumané, jak jsme si již ukazovali. ‘Křídla’ byla ovšem patrně vyzkoušena jen pro meskalin samotný.
Jako první byl připraven12 meskalin-3-hemiFLY. Podle testů na krysách ztratil většinu psychedelických vlastností. Symetrický meskalin-FLY na tom byl ještě hůře.

To je na jednu stranu zklamání, na druhou nám to ale říká něco velmi zajímavého o fungování 5-HT2A receptoru – nejspíše to znamená, že látky se strukturou 3,4,5 se váží jinak než látky se strukturou 2,4,6, což vede k rozdílným reakcím na připojení ‘křídel’.
Síra jako vždy
Jako poslední varianta se nabízí záměny kyslíku za jiný atom. Z dřívějších článků víme, že pokud vyměníme methoxy skupinu v nějakém 2C-x za methylthio skupinu (která obsahuje síru namísto kyslíku), aktivita se sice zhorší, ale přesto nějaká zůstane. Mohlo by zlepšení aktivity způsobené ‘křídly’ tento pokles vykompenzovat?
Odpovědí je, že nevíme. Thiofenová ‘křídla’ nebyla nikdy vyzkoušena, takže nám zbývají jen dohady.

A to je pro dnešek vše. Příště se krátce vrátíme zpět k tryptaminům a ukážeme si, jak lze vytvořit stimulační látky na tryptaminovém základě prostřednictvím aplikace fenylethylaminové logiky konstrukce molekuly.
Na úplný závěr vám tu ještě předám mou kompletní přehledovou tabulku všech jednoduchých 2C-x-FLY variant. Je k dipozici zde, případně s komentářem a diskuzí zde.
Za odborné konzultace děkuji svým kolegům z fenomenologického projektu EffectIndex.com.
Autorem náhledového obrázku je můj přítel Mat Coll.
Zbytek článků v této sérii najdete zde.
1 Monte AP, Marona-Lewicka D, Parker MA, Wainscott DB, Nelson DL, Nichols DE. Dihydrobenzofuran analogues of hallucinogens. 3. Models of 4-substituted (2,5-dimethoxyphenyl)alkylamine derivatives with rigidified methoxy groups. J Med Chem. 1996 Jul 19;39(15):2953-61. doi: 10.1021/jm960199j. PMID: 8709129. Dostupné z: https://pubmed.ncbi.nlm.nih.gov/8709129/.
2 Wagmann L, Brandt SD, Stratford A, Maurer HH, Meyer MR. Interactions of phenethylamine-derived psychoactive substances of the 2C-series with human monoamine oxidases. Drug Test Anal. 2019 Feb;11(2):318-324. doi: 10.1002/dta.2494. Epub 2018 Sep 28. PMID: 30188017. Dostupné z: https://pubmed.ncbi.nlm.nih.gov/30188017/.
3 Halberstadt AL, Chatha M, Stratford A, Grill M, Brandt SD. Comparison of the behavioral responses induced by phenylalkylamine hallucinogens and their tetrahydrobenzodifuran (“FLY”) and benzodifuran (“DragonFLY”) analogs. Neuropharmacology. 2019 Jan;144:368-376. doi: 10.1016/j.neuropharm.2018.10.037. Epub 2018 Oct 29. PMID: 30385253; PMCID: PMC6863604. Dostupné z: https://www.ncbi.nlm.nih.gov/pmc/articles/PMC6863604/.
4 Parrish JC, Braden MR, Gundy E, Nichols DE. Differential phospholipase C activation by phenylalkylamine serotonin 5-HT 2A receptor agonists. J Neurochem. 2005 Dec;95(6):1575-84. doi: 10.1111/j.1471-4159.2005.03477.x. Epub 2005 Nov 8. PMID: 16277614. Dostupné z: https://pubmed.ncbi.nlm.nih.gov/16277614/.
5 Trachsel D. Fluorine in psychedelic phenethylamines. Drug Test Anal. 2012 Jul-Aug;4(7-8):577-90. doi: 10.1002/dta.413. Epub 2012 Feb 28. PMID: 22374819. Dostupné z: https://pubmed.ncbi.nlm.nih.gov/22374819/.
6 Thorlacius K, Borna C, Personne M. Bromo-dragonfly–livsfarlig missbruksdrog. Kan ge vävnadsnekros, visar det första beskrivna fallet [Bromo-dragon fly–life-threatening drug. Can cause tissue necrosis as demonstrated by the first described case]. Lakartidningen. 2008 Apr 16-22;105(16):1199-200. Swedish. PMID: 18522262. Dostupné z: https://pubmed.ncbi.nlm.nih.gov/18522262/
7 Noble C, Holm NB, Mardal M, Linnet K. Bromo-dragonfly, a psychoactive benzodifuran, is resistant to hepatic metabolism and potently inhibits monoamine oxidase A. Toxicol Lett. 2018 Oct 1;295:397-407. doi: 10.1016/j.toxlet.2018.07.018. Epub 2018 Jul 20. PMID: 30036687. Dostupné z: https://pubmed.ncbi.nlm.nih.gov/30036687/.
8 Nichols DE. Chemistry and Structure-Activity Relationships of Psychedelics. Curr Top Behav Neurosci. 2018;36:1-43. doi: 10.1007/7854_2017_475. PMID: 28401524. Dostupné z: https://pubmed.ncbi.nlm.nih.gov/28401524/.
9 Schultz DM, Prescher JA, Kidd S, Marona-Lewicka D, Nichols DE, Monte A. ‘Hybrid’ benzofuran-benzopyran congeners as rigid analogs of hallucinogenic phenethylamines. Bioorg Med Chem. 2008 Jun 1;16(11):6242-51. doi: 10.1016/j.bmc.2008.04.030. Epub 2008 May 6. PMID: 18467103; PMCID: PMC2601679. Dostupné z: https://www.ncbi.nlm.nih.gov/pmc/articles/PMC2601679/.
10 Whiteside MS, Kurrasch-Orbaugh D, Marona-Lewicka D, Nichols DE, Monte A. Substituted hexahydrobenzodipyrans as 5-HT2A/2C receptor probes. Bioorg Med Chem. 2002 Oct;10(10):3301-6. doi: 10.1016/s0968-0896(02)00209-2. PMID: 12150876. Dostupné z: https://pubmed.ncbi.nlm.nih.gov/12150876/.
11 Chambers JJ, Kurrasch-Orbaugh DM, Nichols DE. Translocation of the 5-alkoxy substituent of 2,5-dialkoxyarylalkylamines to the 6-position: effects on 5-HT(2A/2C) receptor affinity. Bioorg Med Chem Lett. 2002 Aug 5;12(15):1997-9. doi: 10.1016/s0960-894x(02)00306-2. PMID: 12113827. Dostupné z: https://pubmed.ncbi.nlm.nih.gov/12113827/.
12 Monte AP, Waldman SR, Marona-Lewicka D, Wainscott DB, Nelson DL, Sanders-Bush E, Nichols DE. Dihydrobenzofuran analogues of hallucinogens. 4. Mescaline derivatives. J Med Chem. 1997 Sep 12;40(19):2997-3008. doi: 10.1021/jm970219x. PMID: 9301661. Dostupné z: https://pubmed.ncbi.nlm.nih.gov/9301661/.
13 Wagmann L, Hempel N, Richter LHJ, Brandt SD, Stratford A, Meyer MR. Phenethylamine-derived new psychoactive substances 2C-E-FLY, 2C-EF-FLY, and 2C-T-7-FLY: Investigations on their metabolic fate including isoenzyme activities and their toxicological detectability in urine screenings. Drug Test Anal. 2019 Oct;11(10):1507-1521. doi: 10.1002/dta.2675. Epub 2019 Jul 31. PMID: 31299701. Dostupné z: https://pubmed.ncbi.nlm.nih.gov/31299701/.